近日,我校betway必威西汉姆联“新能源与智能汽车安全与控制团队”成员彭忆强教授和杨继斌副教授指导学生黄瑞珂在Energy(一区,IF=7.147)期刊上发表题为“Correlation analysis and prediction of PEM fuel cell voltage during start-stop operation based on real-world driving data”的研究论文。

石油因其广泛开采和使用而供不应求,导致全球能源危机,同时污染物的增加正在造成严重的环境问题。燃料电池技术的出现为解决能源枯竭和环境恶化提供了强有力的解决方案。其中,质子交换膜燃料电池(PEMFC)因其低温启动、高比功率、高比能量、无污染等优点备受青睐,因此它已经成为交通领域很有前途的动力源。然而,PEMFC的寿命退化严重影响其性能且限制商业化发展,难以大面积推广。
近年来,学者们用稳态耐久性测试或加速应力测试对PEMFC的降解机理进行了大量的研究和分析,发现该机理高度复杂,涉及因素多。大多数学者都是基于测试条件,因此无法反映真实交通道路环境的工况,PEMFC实际条件比测试条件复杂。
PEMFC在启停时高瞬态输出电压是导致其性能衰退的重要原因,为探索其内在因素,论文作者在四川省重大科技专项“氢能与燃料电池汽车”项目的支持下,基于真实道路行驶的燃料电池公交车的实际运行数据,先对PEMFC启停输出电压进行相关性分析,利用Pearson 相关系数、Spearman 相关系数和 Kendall 相关系数找到其它变量与PEMFC启停输出电压正负相关性从而抑制启停电压波动;然后提出了一种有机灰色BP神经网络模型用于预测PEMFC在启停运行期间的输出电压,最后用其它燃料电池公交车的运行数据进行验证。结果表明了论文作者所提方法的有效性。
论文主要方法及结果如下:

Fig. 5. Structure of OGNNM.

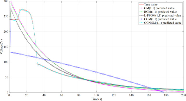
Fig. 6. Predictions from five established models at start.

Fig. 7. Prediction from five established models at stop.

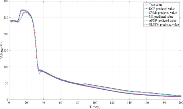
Fig. 10. Predictions from five other models based on references at start.

Fig. 11. Prediction from five other models based on references at stop.

Fig. 14. Prediction from bus2 at start-stop.

Fig. 15. Prediction from bus3 at start-stop.
作者简介:
本论文的第一作者是betway必威西汉姆联2020级硕士研究生黄瑞珂同学。该同学在彭忆强教授和杨继斌副教授团队长期从事燃料电池性能测试与仿真技术研究工作。

彭忆强,博士,教授,汽车测控与安全四川省重点实验室主任,主要研究领域:汽车电子控制技术、新能源汽车的相关研究工作。曾获得全国大学生“飞思卡尔”杯智能汽车竞赛指导教师全国一等奖、首届中国“互联网+”大学生创新创业大赛四川赛区指导教师金奖。

杨继斌,男,博士,副教授,硕士研究生导师,现任betway必威西汉姆联汽车工程系教师,主要从事新能源车辆动力系统优化控制及性能测试评价工作,发表SCI/EI收录论文10余篇。
团队简介:新能源与智能汽车安全与控制团队主要从事新能源汽车优化控制与测试评价、新能源汽车结构安全与仿真、人工智能等方向的研究工作。近三年来,在学校和学院的大力支持下,团队建设的燃料电池客车动力系统评价实验室具备燃料电池系统、动力电池系统、驱动电机系统的独立测试以及联动测试能力,目前主要平台已投入使用,发表论文20余篇(其中SCI论文9篇),申请国家发明专利10余项(其中已授权2项),主持编写团体标准4项。

