中国·必威(bw·西汉姆联)有限公司-Official website
betway必威西汉姆联
学院首页
学院概况
学院简介
机构设置
党政领导
办公室
系、中心
师资队伍
教授
副教授
讲师
人才培养
本科生教育
专业介绍
精品课程
教学成果
实习基地
研究生教育
学位点介绍
研究生导师
审核评估
科学研究
科研成果
学科平台
科研团队
新能源与智能车辆团队
智慧交通系统管控技术...
大件运输关键技术研究...
汽车大数据与产业技术...
擎动未来新能源汽车技...
海陆空复杂环境的高效...
道路交通安全团队
绿色及智能网联汽车系...
betway西汉姆联官网
Betway必威西汉姆联官方网站
党建工作
团建工作
学生工作
科创活动
日常工作
招生就业
招生信息
本科招生
研究生招生
就业信息
校友风采
就业去向
资料下载
学生专用
教师专用
西华主页
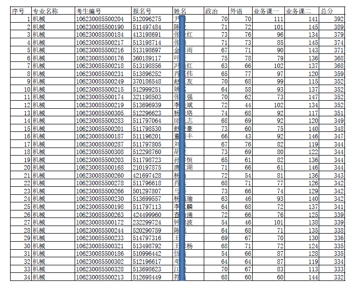
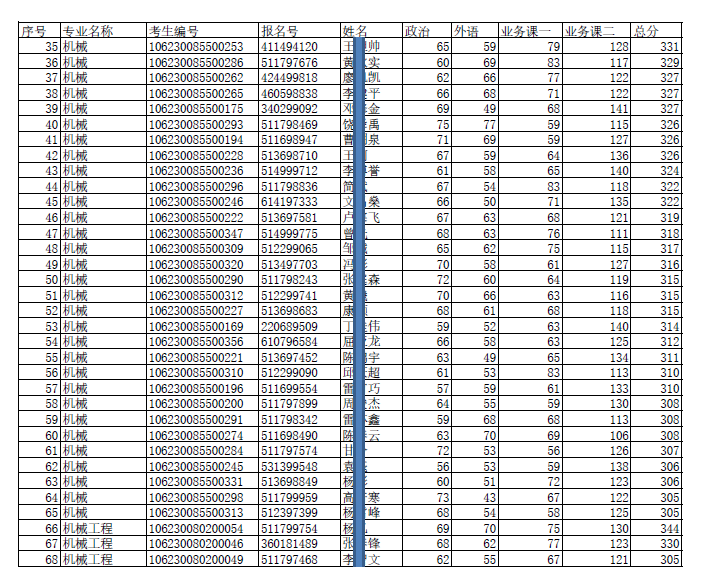
一志愿面试名单(一志愿复试名单公示)
发布者:betway必威西汉姆联
发布时间:2020-05-11
浏览次数:
1899